典型產品結構形式:
![]() | ![]() | ![]() |
| 倍速鏈 | 帶側滾輪 | 頂滾輪 |
● 自由流動鏈是指在運行過程中實現鏈條移動速度不變的情況下,被輸送的物品可按照使用者的要求控制移動節拍的鏈條;在鏈條運行速度一定的情況下,可以根據具體使用要求調整輸送物品的速度快慢。主要包括:倍速鏈、帶大滾輪輸送鏈、帶側滾輪輸送鏈、帶特殊滾輪輸送鏈、帶頂滾輪短節距輸送鏈、帶頂滾輪雙節距輸送鏈等。
● 采用優質的材料、先進的加工工藝,產品具有防靜電、噪聲小、輸送平穩、可靠等特點;
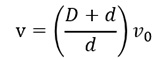
● 典型倍速鏈倍速計算模型示意圖
由于滾輪直徑D可成倍地大于滾子直徑d,所以倍速鏈可得到成倍的增速效果,具體的計算公式如下:


式中
v—工裝板與被輸送物料的移動速度;
v0—倍數輸送鏈的移動速度;
D—滾輪的直徑;
d—滾子的直徑;
● 產品廣泛應用于家電、汽車零件部、電子產品等制造輸送設備。
典型產品結構形式:
![]() | ![]() | ![]() |
| 倍速鏈 | 帶側滾輪 | 頂滾輪 |